2025年12月02日
UWB2025年12月02日
英伟达2025年12月02日
汽车销量2025年12月02日
新能源汽车2025年12月02日
AVEVA2025年12月02日
史陶比尔
2025年12月02日
API
2025年12月01日
施迈茨
2025年11月28日
配天机器人
2025年11月28日
研华
2025年12月02日
电装
2025年12月02日
电装
2025年12月01日
倍加福
2025年12月01日
Festo
摘 要:功率变压器主要用来传输各种信号(单频、窄频、多频等)的功率,是现代电子设备的重要组成部分。本文主要介绍功率变压器的基本理论和设计方法,并结合当前发展状况,以单端反激式开关电源用变压器为例,详细论述了变压器的具体设计、制作过程,并且对样品进行测试和对比分析,为探究有效的测试分析方法和进一步的研究提供重要参考。
关键词:功率变压器;设计;测试
1 前言
功率变压器以传输各种信号的功率为已任,已成为现代电子设备的重要组成部分。功率变压器的应用场合很广泛,有些用来传输单频信号的功率,如用在功率分配网络中的变压器;有些用来传输窄频信号的功率,如用做超声波发生器的输出变压器;还有些用来传输宽频带信号的功率,如用做天线匹配变压器[1~4]。随着开关电源的发展,为功率变压器的应用提供了更为广阔的发展空间。目前,我国生产的开关电源变压器,尚处于仿制阶段,外形、结构、尺寸等都与引进的国外样品一个样,电性能参数也都以国外的产品说明书为依据。虽然,目前国内已确定TA和Mμ两种彩电机型中的开关电源变压器方案,并且已生产出彩电用KB系列、BDKC系列、CKDB-1系列开关电源变压器,其中如BDK1系列设计已符合UL、IEC标准,但是要形成像EI、C型工频、高频电源变压器那样的设计、制造体系尚有难度,因此,开展优化设计等是我们今后需努力的目标。这都使得功率变压器的设计和制作显得尤为重要,行之有效的测试和分析方法,能为变压器的设计改进工作提供有力的保证[5,6]。本文详细介绍了功率变压器的基本理论和设计原理,并按要求实际设计和制作了单端反激式功率变压器。系统探究了变压器静态参数测试的原理和方法,并对测试结果进行了分析。
2 功率变压器的基本理论
2.1 自感及互感系数
一个电路或线圈中的电流所激发的磁场通过自身的全磁通称为自感磁通,此磁通与自身电流成正比,其比例系数称为自感系数。即L=Ψ/I,其中,L为自感系数(H),Ψ为自感磁通(Wb),I为电流(A)。一个电路或线圈中的电流所激发的磁场通过临近电路或线圈的全磁通称为互感磁通,该磁通与引起它的电流成正比,其比例系数称为互感系数。即M12=Ψ2m/I1;M21=Ψ1m/I2。其中,M12、M21为互感系数(H),Ψ1m、Ψ2m为互感磁通,I1、 I2为第一、第二回路或线圈的电流(A)。
2.2 磁路
感性器件为了增大电感量、Q值和缩小体积,通常采用软磁材料作为磁芯,使磁力线较集中地通过线圈内部。这种利用铁磁物质供磁力线通过的路径结构的总体称为磁路。磁路定律有两条:(1)对于磁路中任一包围面,在任何时刻,穿过该包围面的各分支磁路段磁通量的代数和等于零。(2)对于磁路中任一闭合路径,在任一时刻,沿该闭合路径的各段磁路磁位差的代数和等于围绕此闭合路径的所有磁通势的代数和。磁路也满足欧姆定律,即磁路中的磁通等于磁位差与磁路磁阻之比。
2.3 漏磁及损耗
当含磁芯的线圈通过电流时,在磁芯中产生磁通,该磁通的绝大部分是在磁芯中流通形成闭合路径,其中有一小部分是经过线圈周围介质形成闭合路径。前者称为主磁通,后者称为漏磁通。产生这一现象的原因是,相对于电导体和电绝缘体之间的电导率差异程度而言,空气等周围介质的磁导率和磁芯的磁导率之间的差异程度并不是太大。磁路系统的漏磁,对感性器件来说,漏磁形成的漏感越小越好,因为它给感性器件带来一些不良影响。在感性器件样品设计与生产过程中,要想消除漏感影响,实际上是较为困难的,这跟工艺技术有很大关系。合理配置初级、次级绕组位置,选取合适的绕组电阻值,选择磁导率较小的绝缘材料,确定合理的磁芯形态等,这些都可以减小漏感的影响。感性器件的磁路损耗即磁芯损耗Pc,包括磁滞损耗Ph和涡流损耗Pe。磁滞回线所包围的面积就是磁滞损耗Ph(W),一般可采用如下的经验公式计算:![]()
式中,Bm是磁感应强度最大值(T);a是指数,取1.6~2.0;f是工作频率(Hz);V是磁芯体积,K是系数。涡流损耗一般可用下式计算:![]()
其中,系数Ke取决于磁芯材料、形状、片厚;f是工作频率;Bm是磁感应强度最大值;V是磁芯体积。
3 开关电源变压器设计的一般理论
(1)磁芯选择。变压器功率与磁芯材料和结构尺寸有关,可根据变压器的设计功率和电磁感应定律,由下式计算出结构参数![]()
式中,Ae为磁芯芯柱有效截面积(m2);Ac为磁芯窗口面积(m2);Pj为变压器的计算功率(VA),单端反激式开关电源变压器的Pj=2P0(P0为输出功率);f为开关电源频率(Hz); 为变压器效率,一般取0.6~0.8;j为电流密度,一般取(2.5~3)×106A/m2;Kc为窗口利用系数,一般取0.2~0.3。
(2)初级绕组电感量。单端反激开关电源变压器工作有调频、调宽两种情况。调频时,在时间Ton内变压器储能,而在时间Toff内储能全部传给负载;在调宽时,Ton内储能,在Toff内储能未能全部释放完,还有一部分能量在下一个Ton内就要映射到初级绕组上。因此,初级电感量计算公式是不同的。对于调频式单端反激开关电源变压器,初级绕组电感量:![]()
对于调宽式单端反激开关电源变压器,初级绕组电感量:![]()
其中,L1为初级绕组电感量(H),Uimin为最小输入直流电压(V),σ为占空系数(%),T为周期(s),初级电感量应控制在L1min<L1<L1max。
(3)初级绕组匝数:![]()
其中,Le为有效磁路长度。为有效磁导率。对开气隙磁芯定义。
(4)初、次级变比。初、次级变比为![]()
式中,Us2为次级绕组电压,其值为Us2=U0+Ur+UL。其中,Ui为输入电压,U0为输出直流电压,Ur为续流二极管压降(通常为1V),UL为变压器漏感压降(通常为0.075 U0)。应当注意,若次级绕组为多绕组,则应分别求各自的变比kn。
(5)次级绕组匝数:
N2i=niN1 (8)
其中,N2i为第i次级绕组匝数,ni为第i次级绕组变比,i=1,2,…n,N1为变压器初级绕组匝数。
(6)初级绕组激磁电流:![]()
式中, 为磁化电流,L1为初级电感,Ui为输入电压,Ton为导通时间。
(7)初级电流有效值:由于初级电流波形为锯齿波,故
(8)各次级电流有效值:![]()
其中,I2i为第i次级绕组电流有效值;Ioi为第i次级绕组输出直流平均电流,a为常数。半波整流时,对电感负载
,对电阻负载a=1.57。
(9)电负载及线包电流密度计算。电负载的定义为磁芯窗口面积内的全部电流数。各绕组中的电流密度相等,则有![]()
其中,NI为安匝数。线包的电流密度为:
j=NI/BAH (13)
其中,电流密度j一般取(2~7)×106A/m2; 为常数,一般取0.5~0.7;AH为骨架的绕线窗口面积,一般为磁芯窗口面积Ac的0.6~0.7倍。
(10)初级绕组的导线直径:![]()
其中,I1为初级绕组的有效电流。
(11)次级绕组的导线直径:![]()
I2n为次级第n组的有效电流。
这里应当注意,考虑到高频电流趋肤效应的影响,导线的直径不能大于高频电流透入深度的二倍。
(12)初、次级绕组电阻。初级绕组电阻:![]()
其中,R0为导线单位长度的电阻,N1为初级绕组匝数,Lm1为初级绕阻的平均匝长。次级第i绕组的电阻:![]()
N2i为次级第i绕组匝数,Lm2n为次级绕组的平均匝长。
(13)初、次级绕组损耗。初级绕组损耗![]()
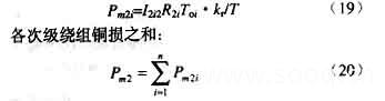
其中Pm1为初级绕组铜损;kr为漆包线电阻的温度补偿系数,为热态与冷态电阻之比。各次级绕组铜损
其中,I2i为次级第i绕组的有效电流,R2i为次级第i绕组的冷态电阻,kr为导线电阻的温度补偿系数。
(14)变压器的全部绕组损耗:
其中,Pc0为在相应f和B条件下单位重量的损耗(W/kg),Gc为磁芯重量。
(16)开关电源变压器总损耗:![]()
(17)温升计算。开关电源变压器温升不应大于允许温升。对于不同的磁芯材料、绝缘材料和环境温度,允许温升也不一样。也就是变压器允许最高工作温度也不一样。一般地讲,对铁镍软磁合金(坡莫合金)磁芯,其允许最高工作温度取决于绝缘材料的绝缘等级;对铁氧体磁芯,其允许最高工作温度为100℃;对于非晶态软磁合金磁芯,目前允许最高工作温度为110℃(对于铁基非晶态软磁合金可适当高些)。
4 设计实例
设计制作一个变压器:Ui=110V,U0=12V,P0=30W,f=200kHz,LL/L初<1/1000,n>80%。
分析:根据要求可按单端反激式开关电源变压器设计方法设计,具体步骤如下:
(1)磁芯选择。![]()
其中, 为工作的增量磁感应强度(T),对Mn-Zn铁氧体 一般取0.25T;电流密度j取(2.5~3)×106A/m2,为经验常数。LL/L初<1/1000,初步确定选用RM8G磁芯,C1=0.590mm-1,Ae=64.0mm2,Ve=2400mm3,AL=2220(1±25%)。
(3)初级绕组电感L1。工作在调宽状态下:![]()
(4)次级绕组匝数:N2=U0Toff/UiTon=4.2匝。
(5)初级绕组激磁电流:
(9)最大电流密度:j=NI/ AN=NI/(ANC×0.65)=0.903×106A/m2<规定值,故取j=2.5×106A/m2。
(10)最大绕组直径:![]()
![]()
(11)透入深度:
根据d<2Δ=0.296mm原则,取d1=0.28mm(此为铜芯直径,漆包线外径为0.33mm),d2=0.28×4mm(同上)。








(12)RM8G磁芯骨架内宽为9mm,设每股漆包线(包括间隙)占0.4mm,则每层可缠绕22~23匝,N1=38,N2=4.2,取N2=5,N1=45。
(13)制作磁芯:RM8G,线包结构:(a)骨架,采用阻燃增强PBT工程塑料压制或酚醛玻璃纤维塑料压制而成;(b)外包绝缘,采用厚度为0.06~0.08mm彩色聚脂压敏胶带2~3层;(c)层间绝缘,采用厚度 为0.06~0.08mm彩色聚脂压敏胶带1~2层;(d)样品1~3:初级,第一、二层,22+23匝;次级,第三层5匝,4×5=20股;(e)样品4~10:初、次级分层交叉绕制。初级,第一、三层,22+23;次级,第二层,5匝,4×5股。
4 功率变压器的测试结果
测试结果如图1~8所示。